- Methodology article
- Open Access
CNV-seq, a new method to detect copy number variation using high-throughput sequencing
- Chao Xie1 and
- Martti T Tammi1, 2, 3Email author
https://doi.org/10.1186/1471-2105-10-80
© Xie and Tammi; licensee BioMed Central Ltd. 2009
- Received: 21 August 2008
- Accepted: 06 March 2009
- Published: 06 March 2009
Abstract
Background
DNA copy number variation (CNV) has been recognized as an important source of genetic variation. Array comparative genomic hybridization (aCGH) is commonly used for CNV detection, but the microarray platform has a number of inherent limitations.
Results
Here, we describe a method to detect copy number variation using shotgun sequencing, CNV-seq. The method is based on a robust statistical model that describes the complete analysis procedure and allows the computation of essential confidence values for detection of CNV. Our results show that the number of reads, not the length of the reads is the key factor determining the resolution of detection. This favors the next-generation sequencing methods that rapidly produce large amount of short reads.
Conclusion
Simulation of various sequencing methods with coverage between 0.1× to 8× show overall specificity between 91.7 – 99.9%, and sensitivity between 72.2 – 96.5%. We also show the results for assessment of CNV between two individual human genomes.
Keywords
- Copy Number Variation
- Test Genome
- Copy Number Variation Region
- Copy Number Ratio
- Trace Archive
Background
DNA copy number variation (CNV) has long been known as a source of genetic variation, but its importance has only been recognized recently [1, 2]. In a landmark study in 2006, Redon and colleagues found that 1,447 CNV regions cover at least 12% of the human genome, with no large stretches exempt from CNV [3]. The CNV regions cover more nucleotide content per genome than single nucleotide polymorphisms (SNPs), suggesting the importance of CNV in genetic diversity [3]. A common way to detect CNV is to utilize microarray-based methods [4]. The most commonly used method, array comparative genomic hybridization (aCGH) was first used to detect CNV a decade ago [5, 6].
Microarray-based methods have revolutionized the way of how large-scale genome studies are carried out. Today, the next-generation sequencing technologies are transforming biology research [7]. The rapid development of new sequencing technologies is continuously increasing the speed of sequencing and decreasing the cost. The next-generation sequencing, such as 454 [8], Solexa [9] and SOLiD [10] have already showed advantages over microarrays in several aspects. Apart from being rapid and cheap, data produced by sequencing can be re-used for varied purposes as opposed to data from microarray-based methods that can usually solely be used by one specific study. In addition, reproducibility has been one of the major challenges for microarray technology [11]. The once revolutionizing microarray-based ChIP-Chip technology is being replaced by ChIP-Seq, in which the DNA fragments are sequenced instead of being hybridized to an array [12]. Sequencing-based methods are also used to produce genome-wide DNA methylation profiles, detect SNP, study chromosome translocations and RNA transcriptome profiling [13–20].
Variation in sequencing coverage in genome assemblies has been used as an indicator for potential CNV between an assembled genome and shotgun data from another genome [21, 22]. This is analogous to a comparison of copy number between microarray probes and a single set of DNA fragments. There are two major problems with this kind of approach. Given a certain hybridization condition, hybridization efficiency varies among microarray probes. Likewise, given a certain alignment threshold, sequencing errors in combination with differences between genomes may result in erroneous distribution of the reads.
Secondly, the number of probes on a microarray does not represent the real copy number of probe sequences in a genome. Likewise, the copy number of DNA segments in an assembled genome may not represent the true one. Notably, the regions containing multiple copies are the most difficult to assemble correctly and is still the key unsolved problem in shotgun assembly [23]. Assembly errors like these cause false variation in the sequencing coverage and thus yield erroneous indication of CNV.
In this paper we describe an efficient solution based on a robust model that combines the advantages of aCGH and high-throughput sequencing. We also assessed CNV between two individuals (Dr. J. Craig Venter [24], Dr. James Watson [21]). An implementation of our method is freely available at http://tiger.dbs.nus.edu.sg/CNV-seq.
Results and discussion
The Model
A comparison of the conceptual steps in aCGH and CNV-seq methods. 1. Starting material in both cases is genomic fragments from two genomes. 2. In CNV-seq the fragments are samples and sequenced. 3. Genomic fragments are directly hybridized on to an array. In CNV-seq the mapping is performed by sequence alignment. 4. In microarray the light intensities reflect the number of hybridized fragments. In CNV-seq the number of mapped reads are counted directly. 5. Data analysis, including estimation of copy number ratios, confidence values, etc. 6. Output of the results.
The random sampling in shotgun sequencing results in uneven coverage that may lead to observed coverage ratios that falsely imply CNV. Therefore, a statistical model is essential for the assessment of the probability of false positive ratios. The average number of reads in a region of a genome is dependent on the total number of reads sampled, the length of the genome and the length of the region. We use this relationship to compute a minimum sliding window size to achieve a desired minimum confidence level of the observations.
where N is the total number of sequenced reads, G is the size of the genome and W is the size of the sliding window, and W < <G. We use the Gaussian distribution to approximate the Poisson distribution with mean and variance λ = μ = σ2. This approximation is good when the mean number of reads per window is greater than 10 with continuity correction.
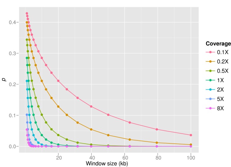
Dependencies of p in CNV-seq. The relation of p and sliding window size is shown on 0.1× to 8× sequence coverage for log2(r') = 0.6 and average read length 250 bases. The values are computed using equation (5). Increased window length results in decreased probability, p of observing ratio r' or higher by cheer chance. It is possible to compensate lack of coverage by increasing the window size, but this results in lowering the resolution.
where p' is the desired significance level, and r' is the CNV detection threshold ratio. Φ-1 is the inverse function of Φ. The number of reads sampled will affect the minimum window size. For example, if one wants to detect CNV with ratio ≥ 3 : 2 at significance level 0.002, a genome size of 3 G bases and 10 M reads in both genomes will yield the minimum window size of 37,243 bases, while 1 M reads will yield the window size of 372,431 bases. The use larger number of reads allows detection of ten times shorter CNV.
Validation
In order to assess the performance of CNV-seq, we used simulated and real human data. For the simulation of shotgun data, in total of 101 genomes were constructed, containing varied number, sizes and locations of CNV regions, SNP and short insertions/deletions (indels). We simulated three sequencing methods, Solexa, 454 and Sanger [27] for each constructed genome on 0.1× to 8× coverage. This resulted in the total of 8,400 simulations.
Performance of CNV-seq. The performance of CNV-seq on data simulating 454, Sanger and Solexa methods. Results are shown for 0.1×–8× coverages (right) and p-value range of 10-5-10-2 (top). Each dot represents an average of 100 simulations and the size of the dots represents the window (log10) size, i.e. resolution used. The window sizes are calculated using equation (5).
Specificity vs window size. In order to increase specificity, a larger than the theoretical minimum window size can be used by sacrificing resolution. The specificities using 1×, 1.5×, 2×, 3×, 4×, and 5× of the theoretical minimum window size are shown, for simulated Solexa sequencing data at 8× coverage.
Analysis of human data
Copy number variation between two human individuals. Copy number variation detected by CNV-seq using shotgun sequence data from two individuals, Venter and Watson. The top panel shows a genome level log 2 ratio plot. The middle panel shows the plot for chromosome 10. The bottom panel shows detailed view of a CNV region in chromosome 10. The red color gradient in the middle and bottom sections represents log10 p calculated on each of ratios.
Permutation test of CNV calls. A permutation test was performed in order to test the significance of our CNV calls. The histogram shows the number of CNV calls overlapping with CNV in DGV. The X-axis shows the number of calls overlapping with DGV. The Y-axis shows the frequency of the overlapping number in 5,000 sets of permuted CNV calls.
We also intersected the CNV calls with the CNVs identified by aCGH in the two genomes. There are 23 and 45 CNV regions reported in Watson's and Venter's genome respectively [21, 24]. We found 15 of our CNV calls overlap with 10 of previously reported Watson's CNV regions, and only 11 of our CNV calls overlap with 5 of Venter's. The low overlap with Venter's CNV calls made by aCGH is not surprising, for the reason that the majority of the CNV regions were detected by only one of three microarray platforms [24]. There are 121 CNV calls that made by CNV-seq but not aCGH and overlap with DGV data, suggesting that CNV-seq can detect CNV regions that were missed by aCGH. One of these regions is shown in Figure 5 (bottom panel), a 238 kb region (copy number ratio 6:1, p = 0) containing two genes (FAM23B, MRC1L1) and one miRNA (hsa-mir-511-2). We have used stringent thresholds in our analysis, thus by lowering thresholds, such as p-value and the number of consecutive windows, will increase the number of reported CNV calls.
A major assumption in CNV-seq is that shotgun sampling of DNA fragments is random, and therefore the CNV calls made by CNV-seq are not due to different sequencing bias between the two sets of data compared. When the two sets of data are prepared in the same way, this assumption is valid. However, when the shotgun sequences are generated using two different sequencing methods, the assumption may not hold any more. Solexa sequencing reads are recently reported to be GC-biased dependent on a library preparation procedure [28]. Venter's genome was sequenced using 454 and Watson's genome was sequenced using the Sanger method. We compared the distribution of GC frequencies in the shotgun reads in both genomes. There are no significant differences between the two distributions (p = 0.2106, Kolmogorov-Smimrov test).
Conclusion
We have developed a method to detect CNV using shotgun data. Our approach not only combines the advantages of microarray methods and high-throughput sequencing, but is also based on a robust statistical model allowing confidence assessment. We tested the approach on both simulated and real data and the results show that the method can be applied to relatively low sequencing coverage with good specificity and sensitivity. We have also developed a model to compute the theoretical limit of resolution for given data at a desired confidence level.
We expect the continued rapid development of sequencing technologies to further lower the cost and increase the speed of sequencing. Thus, sequencing-based approaches are likely to gain increased advantage over microarrays. Next-generation sequencing methods mostly produce a large number of short reads and our results show that the number of reads sequenced – not the length of the reads, is the most important factor that determines the resolution, i.e. larger number of sequenced fragments results in increased resolution. Alternatively, given a constant resolution an increase in the number of sequenced reads will result in increased sensitivity and specificity. Therefore, a large number of short reads is an advantage as opposed to a small number of long reads.
Methods
Simulations
The human chromosome 1 (NCBI build 36) was used to construct one diploid reference genome and 100 diploid test genomes. The unmodified chromosome 1 sequence was used as the template genome. The test individual genomes are constructed by the introducing CNV, SNPs and short indels. The CNV is introduced into each of the test genomes by concatenating the two chromosomes and by selecting nine source sequences at random positions to replace 26 target sequences at random positions. Four of the nine source sequences are used four times each to replace four random target sequences and the remaining five of the nine sequences are used to replace two random target sequences each. The procedure results in the total of 35 segments in each of the 100 simulated test genomes with the following copy number ratios: 26 with ratio 1:2, five with ratio 4:2 and four with ratio 6:2. The length of the source sequences is 10 k , where k is a random number between log10 500 and log10 2 M, yielding the median length of 26,464 bases and the mean 234,065.7 bases. In addition, each test genome is modified by randomly introducing 5 SNPs/kb and short, 1–3 bp insertions/deletions with the frequency of 0.5 indels/kb.
The reference genome is constructed the same way as the individual test genomes, except no CNV was introduced.
We simulated the shotgun process for 0.1×, 0.2×, 0.5×, 1×, 2×, 5× and 8× coverages.
The performance is measured by counting the number of sliding windows giving a correct alternatively an incorrect prediction. Our model describes the theoretical limit of detection for given data with given r' and p'. The true copy number ratio of each window is known in the simulated data, i.e. the true r. All windows where true r ≥ r' or r ≤ 1/r' should be classified as CNV in order to achieve 100% sensitivity. Similarly, all windows where true r ≤ r' or r ≥ 1/r' should not be classified as CNV in order to achieve 100% specificity.
CNV detection in human data
The shotgun sequencing data were downloaded from the personal genome projects of Venter and Watson in Trace Archive. The template genome was downloaded from Ensembl [31], human genome assembly, NCBI Build 36. The thresholds p' = 10-5 and log2(r') = 0.6 are used. Given the data these thresholds yield the window size, W = 26, 481 bases for autosomal chromosomes, 72,044 bases for chromosome X and 269,032 bases for chromosome Y.
CNV-seq
All calculations are performed using R [32] and sequences aligned by BLAT [33]. The whole procedure is automated by Perl http://www.perl.org scripts.
Declarations
Acknowledgements
This work was supported by National University of Singapore FRC grant number R154000265112. CX acknowledges support from the National University of Singapore Research Scholarship. The authors thank Dr. Yap Von Bing for providing valuable advice on statistics.
Authors’ Affiliations
References
- Sebat J, Lakshmi B, Troge J, Alexander J, Young J, Lundin P, Månér S, Massa H, Walker M, Chi M, Navin N, Lucito R, Healy J, Hicks J, Ye K, Reiner A, Gilliam TC, Trask B, Patterson N, Zetterberg A, Wigler M: Large-scale copy number polymorphism in the human genome. Science 2004, 305(5683):525–528. 10.1126/science.1098918View ArticlePubMedGoogle Scholar
- Iafrate AJ, Feuk L, Rivera MN, Listewnik ML, Donahoe PK, Qi Y, Scherer SW, Lee C: Detection of large-scale variation in the human genome. Nat Genet 2004, 36(9):949–951. 10.1038/ng1416View ArticlePubMedGoogle Scholar
- Redon R, Ishikawa S, Fitch KR, Feuk L, Perry GH, Andrews TD, Fiegler H, Shapero MH, Carson AR, Chen W, Cho EK, Dallaire S, Freeman JL, González JR, Gratacòs M, Huang J, Kalaitzopoulos D, Komura D, MacDonald JR, Marshall CR, Mei R, Montgomery L, Nishimura K, Okamura K, Shen F, Somerville MJ, Tchinda J, Valsesia A, Woodwark C, Yang F, Zhang J, Zerjal T, Zhang J, Armengol L, Conrad DF, Estivill X, Tyler-Smith C, Carter NP, Aburatani H, Lee C, Jones KW, Scherer SW, Hurles ME: Global variation in copy number in the human genome. Nature 2006, 444(7118):444–454. 10.1038/nature05329PubMed CentralView ArticlePubMedGoogle Scholar
- Carter NP: Methods and strategies for analyzing copy number variation using DNA microarrays. Nat Genet 2007, 39(7 Suppl):S16-S21. 10.1038/ng2028PubMed CentralView ArticlePubMedGoogle Scholar
- Solinas-Toldo S, Lampel S, Stilgenbauer S, Nickolenko J, Benner A, Döhner H, Cremer T, Lichter P: Matrix-based comparative genomic hybridization: biochips to screen for genomic imbalances. Genes Chromosomes Cancer 1997, 20(4):399–407. 10.1002/(SICI)1098-2264(199712)20:4<399::AID-GCC12>3.0.CO;2-IView ArticlePubMedGoogle Scholar
- Pinkel D, Segraves R, Sudar D, Clark S, Poole I, Kowbel D, Collins C, Kuo WL, Chen C, Zhai Y, Dairkee SH, Ljung BM, Gray JW, Albertson DG: High resolution analysis of DNA copy number variation using comparative genomic hybridization to microarrays. Nat Genet 1998, 20(2):207–211. 10.1038/2524View ArticlePubMedGoogle Scholar
- Schuster SC: Next-generation sequencing transforms today's biology. Nat Methods 2008, 5: 16–18. 10.1038/nmeth1156View ArticlePubMedGoogle Scholar
- Margulies M, Egholm M, Altman WE, Attiya S, Bader JS, Bemben LA, Berka J, Braverman MS, Chen YJ, Chen Z, Dewell SB, Du L, Fierro JM, Gomes XV, Godwin BC, He W, Helgesen S, Ho CH, Ho CH, Irzyk GP, Jando SC, Alenquer MLI, Jarvie TP, Jirage KB, Kim JB, Knight JR, Lanza JR, Leamon JH, Lefkowitz SM, Lei M, Li J, Lohman KL, Lu H, Makhijani VB, McDade KE, McKenna MP, Myers EW, Nickerson E, Nobile JR, Plant R, Puc BP, Ronan MT, Roth GT, Sarkis GJ, Simons JF, Simpson JW, Srinivasan M, Tartaro KR, Tomasz A, Vogt KA, Volkmer GA, Wang SH, Wang Y, Weiner MP, Yu P, Begley RF, Rothberg JM: Genome sequencing in microfabricated high-density picolitre reactors. Nature 2005, 437(7057):376–380.PubMed CentralPubMedGoogle Scholar
- Bentley DR: Whole-genome re-sequencing. Curr Opin Genet Dev 2006, 16(6):545–552. 10.1016/j.gde.2006.10.009View ArticlePubMedGoogle Scholar
- Valouev A, Ichikawa J, Tonthat T, Stuart J, Ranade S, Peckham H, Zeng K, Malek JA, Costa G, McKernan K, Sidow A, Fire A, Johnson SM: A high-resolution, nucleosome position map of C. elegans reveals a lack of universal sequence-dictated positioning. Genome Res 2008, 18(7):1051–1063. 10.1101/gr.076463.108PubMed CentralView ArticlePubMedGoogle Scholar
- Shendure J: The beginning of the end for microarrays? Nat Methods 2008, 5(7):585–587. 10.1038/nmeth0708-585View ArticlePubMedGoogle Scholar
- Johnson DS, Mortazavi A, Myers RM, Wold B: Genome-wide mapping of in vivo protein-DNA interactions. Science 2007, 316(5830):1497–1502. 10.1126/science.1141319View ArticlePubMedGoogle Scholar
- Cokus SJ, Feng S, Zhang X, Chen Z, Merriman B, Haudenschild CD, Pradhan S, Nelson SF, Pellegrini M, Jacobsen SE: Shotgun bisulphite sequencing of the Arabidopsis genome reveals DNA methylation patterning. Nature 2008, 452(7184):215–219. 10.1038/nature06745PubMed CentralView ArticlePubMedGoogle Scholar
- Hillier LW, Marth GT, Quinlan AR, Dooling D, Fewell G, Barnett D, Fox P, Glasscock JI, Hickenbotham M, Huang W, Magrini VJ, Richt RJ, Sander SN, Stewart DA, Stromberg M, Tsung EF, Wylie T, Schedl T, Wilson RK, Mardis ER: Whole-genome sequencing and variant discovery in C. elegans. Nat Methods 2008, 5(2):183–188. 10.1038/nmeth.1179View ArticlePubMedGoogle Scholar
- Van Tassell CP, Smith TPL, Matukumalli LK, Taylor JF, Schnabel RD, Lawley CT, Haudenschild CD, Moore SS, Warren WC, Sonstegard TS: SNP discovery and allele frequency estimation by deep sequencing of reduced representation libraries. Nat Methods 2008, 5(3):247–252. 10.1038/nmeth.1185View ArticlePubMedGoogle Scholar
- Chen W, Kalscheuer V, Tzschach A, Menzel C, Ullmann R, Schulz MH, Erdogan F, Li N, Kijas Z, Arkesteijn G, Pajares IL, Goetz-Sothmann M, Heinrich U, Rost I, Dufke A, Grasshoff U, Glaeser B, Vingron M, Ropers HH: Mapping translocation breakpoints by next-generation sequencing. Genome Res 2008, 18(7):1143–1149. 10.1101/gr.076166.108PubMed CentralView ArticlePubMedGoogle Scholar
- Mortazavi A, Williams BA, McCue K, Schaeffer L, Wold B: Mapping and quantifying mammalian transcriptomes by RNA-Seq. Nat Methods 2008, 5(7):621–628. 10.1038/nmeth.1226View ArticlePubMedGoogle Scholar
- Marioni J, Mason C, Mane S, Stephens M, Gilad Y: RNA-seq: An assessment of technical reproducibility and comparison with gene expression arrays. Genome Res 2008.Google Scholar
- Nagalakshmi U, Wang Z, Waern K, Shou C, Raha D, Gerstein M, Snyder M: The transcriptional landscape of the yeast genome defined by RNA sequencing. Science 2008, 320(5881):1344–1349. 10.1126/science.1158441PubMed CentralView ArticlePubMedGoogle Scholar
- Wilhelm BT, Marguerat S, Watt S, Schubert F, Wood V, Goodhead I, Penkett CJ, Rogers J, Bähler J: Dynamic repertoire of a eukaryotic transcriptome surveyed at single-nucleotide resolution. Nature 2008, 453(7199):1239–1243. 10.1038/nature07002View ArticlePubMedGoogle Scholar
- Wheeler DA, Srinivasan M, Egholm M, Shen Y, Chen L, McGuire A, He W, Chen YJ, Makhijani V, Roth GT, Gomes X, Tartaro K, Niazi F, Turcotte CL, Irzyk GP, Lupski JR, Chinault C, Song Xz, Liu Y, Yuan Y, Nazareth L, Qin X, Muzny DM, Margulies M, Weinstock GM, Gibbs RA, Rothberg JM: The complete genome of an individual by massively parallel DNA sequencing. Nature 2008, 452(7189):872–876. 10.1038/nature06884View ArticlePubMedGoogle Scholar
- Sherwood E: Methods and applications in DNA sequence alignments. PhD thesis. Karolinska Institutet; 2007.Google Scholar
- Tammi MT, Arner E, Kindlund E, Andersson B: Correcting errors in shotgun sequences. Nucleic Acids Res 2003, 31(15):4663–4672. 10.1093/nar/gkg653;PubMed CentralView ArticlePubMedGoogle Scholar
- Levy S, Sutton G, Ng PC, Feuk L, Halpern AL, Walenz BP, Axelrod N, Huang J, Kirkness EF, Denisov G, Lin Y, MacDonald JR, Pang AWC, Shago M, Stockwell TB, Tsiamouri A, Bafna V, Bansal V, Kravitz SA, Busam DA, Beeson KY, McIntosh TC, Remington KA, Abril JF, Gill J, Borman J, Rogers YH, Frazier ME, Scherer SW, Strausberg RL, Venter JC: The diploid genome sequence of an individual human. PLoS Biol 2007, 5(10):e254. 10.1371/journal.pbio.0050254PubMed CentralView ArticlePubMedGoogle Scholar
- Hinkley DV: On the ratio of two correlated normal random variables. Biometrika 1969, 56(3):635–639. 10.1093/biomet/56.3.635View ArticleGoogle Scholar
- Hayya J, Armstrong D, Gressis N: A note on the ratio of two normally distributed variables. Manage Sci 1975, 21(11):1338–1341. 10.1287/mnsc.21.11.1338View ArticleGoogle Scholar
- Sanger F, Coulson AR: A rapid method for determining sequences in DNA by primed synthesis with DNA polymerase. J Mol Biol 1975, 94(3):441–448. 10.1016/0022-2836(75)90213-2View ArticlePubMedGoogle Scholar
- Quail MA, Kozarewa I, Smith F, Scally A, Stephens PJ, Durbin R, Swerdlow H, Turner DJ: A large genome center's improvements to the Illumina sequencing system. Nat Methods 2008, 5(12):1005–1010. 10.1038/nmeth.1270PubMed CentralView ArticlePubMedGoogle Scholar
- Wheeler DL, Barrett T, Benson DA, Bryant SH, Canese K, Chetvernin V, Church DM, Dicuccio M, Edgar R, Federhen S, Feolo M, Geer LY, Helmberg W, Kapustin Y, Khovayko O, Landsman D, Lipman DJ, Madden TL, Maglott DR, Miller V, Ostell J, Pruitt KD, Schuler GD, Shumway M, Sequeira E, Sherry ST, Sirotkin K, Souvorov A, Starchenko G, Tatusov RL, Tatusova TA, Wagner L, Yaschenko E: Database resources of the National Center for Biotechnology Information. Nucleic Acids Res 2008, (36 Database):D13-D21.Google Scholar
- Ewing B, Green P: Base-calling of automated sequencer traces using phred. II. Error probabilities. Genome Res 1998, 8(3):186–194.View ArticlePubMedGoogle Scholar
- Birney E, Andrews TD, Bevan P, Caccamo M, Chen Y, Clarke L, Coates G, Cuff J, Curwen V, Cutts T, Down T, Eyras E, Fernandez-Suarez XM, Gane P, Gibbins B, Gilbert J, Hammond M, Hotz HR, Iyer V, Jekosch K, Kahari A, Kasprzyk A, Keefe D, Keenan S, Lehvaslaiho H, McVicker G, Melsopp C, Meidl P, Mongin E, Pettett R, Potter S, Proctor G, Rae M, Searle S, Slater G, Smedley D, Smith J, Spooner W, Stabenau A, Stalker J, Storey R, Ureta-Vidal A, Woodwark KC, Cameron G, Durbin R, Cox A, Hubbard T, Clamp M: An overview of Ensembl. Genome Res 2004, 14(5):925–928. 10.1101/gr.1860604PubMed CentralView ArticlePubMedGoogle Scholar
- R Development Core Team:R: A Language and Environment for Statistical Computing. R Foundation for Statistical Computing, Vienna, Austria; 2008. [http://www.R-project.org]Google Scholar
- Kent WJ: BLAT-the BLAST-like alignment tool. Genome Res 2002, 12(4):656–664.PubMed CentralView ArticlePubMedGoogle Scholar
Copyright
This article is published under license to BioMed Central Ltd. This is an Open Access article distributed under the terms of the Creative Commons Attribution License (http://creativecommons.org/licenses/by/2.0), which permits unrestricted use, distribution, and reproduction in any medium, provided the original work is properly cited.





